Abstracts

A Phase 1 Single-Dose Bioavailability Study of an Oral Cenobamate Suspension Formulation

Abstract number : 2.358
Submission category : 7. Anti-seizure Medications / 7E. Other
Year : 2025
Submission ID : 11
Source : www.aesnet.org
Presentation date : 12/7/2025 12:00:00 AM
Published date :

Authors :
Presenting Author: Vijay Vashi, PhD – SK Life Science, Inc.

Louis Ferrari, RPh – SK Life Science, Paramus, New Jersey, USA
Ahad Sabet, MD, FACP, CPI – ICON plc

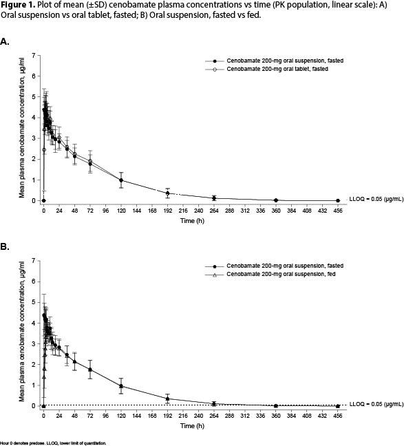
Rationale: This phase 1 single-center study evaluated the pharmacokinetics (PK), relative bioavailability, and food effect of a new oral cenobamate suspension vs the currently available oral tablet. The results informed the appropriate use of the oral suspension formulation in current clinical studies of cenobamate.

Methods: In this open-label, 3-period, 6-sequence balanced crossover study, healthy adult volunteers ages 18-50 y were randomized to receive single 200-mg doses of cenobamate (200-mg tablet or 10 mg/mL oral suspension). Three treatments were administered: oral tablet, fasted (10-h fast) state; oral suspension, fasted state; and oral suspension fed (high-fat meal) state. All treatments were administered with 240 mL of water. There was a 21-day washout between doses. Blood samples for PK assessments were collected from predose to 456 h following each treatment during each period. Natural log-transformed cenobamate PK parameters (Cmax, AUClast, and AUC) were used to estimate relative bioavailability and construct 90% CIs using a mixed-effects model approach, with treatment, sequence, and period as fixed effects and subject within sequence as random effect. An absence of effect was concluded if the 90% CIs fell within the 80%-125% predefined boundaries. Safety and tolerability were assessed by physical exams, laboratory tests, and adverse event (AE) monitoring.

Results:

All patients (N=28, 82% male, mean age 30.6 y) received ≥1 treatment dose of study drug and were included in the PK and safety populations. Following fasting administration of cenobamate 200-mg tablet vs oral suspension, the mean (±SD) plasma concentration-time profiles were comparable (Figure 1A), and the 90% CIs fell within the 80%-125% predefined boundaries for all three key PK parameters (AUC, AUClast, and Cmax; Table 1). As expected, more rapid absorption occurred with the oral suspension (median Tmax 1 h for suspension vs 3 h for tablet; P=0.01). Following administration of oral suspension fed vs fasted, the mean AUC and AUClast were within the 80%-125% range and plasma concentration-time profiles were superimposable (Figure 1B). Median Tmax was significantly increased in the fed state (5 h) vs the fasted state (0.75 h), P< 0.0001. The ratio of means for Cmax was 82% (90% CI, 75%-85%). Although absorption was delayed in the fed state, this impact should not be clinically significant at steady-state dosing. The most common AEs were dizziness, headache, and oropharyngeal pain, which occurred with a comparable incidence across all three treatments. No serious AEs were reported. One subject discontinued due to COVID-19.



Conclusions: The relative bioavailability of a 200-mg dose of cenobamate is comparable whether administered as a tablet or as an oral suspension. The presence of food may slow the time to maximal plasma concentration; however, the effect is not clinically significant at steady-state dosing. Thus, cenobamate oral suspension and tablets can be administered interchangeably. Both formulations may be taken with or without food, offering greater flexibility for clinical use, including in patients with swallowing difficulties.

Funding:

Funded by SK Life Science, Inc.



Anti-seizure Medications