Abstracts

Opening the Black Box: A Multimodal Explainable Artificial Intelligence (XAI) for Seizure Detection and Prediction Using Wearable Devices

Abstract number : 1.208
Submission category : 2. Translational Research / 2E. Other
Year : 2025
Submission ID : 610
Source : www.aesnet.org
Presentation date : 12/6/2025 12:00:00 AM
Published date :

Authors :
Presenting Author: Tanuj Hasija, PhD – Paderborn University

Maurice Kuschel, MSc – Paderborn University, Paderborn, Germany
Marvin Schäfers, BSc – Paderborn University
Michele Jackson, BA – Boston Children's Hospital, 300 Longwood Ave, Boston, MA 02115, USA
Stephanie Dailey, BA – Boston Children's Hospital, 300 Longwood Ave, Boston, MA 02115, USA
Claus Reinsberger, MD, PhD – Paderborn University/Mass General Brigham
Solveig Vieluf, PhD – LMU University Hospital, LMU Munich, Germany
Tobias Loddenkemper, MD – Boston Children's Hospital, 300 Longwood Ave, Boston, MA 02115, USA

Rationale:
The unpredictability of seizures is highly burdensome for people with epilepsy (PWE). Recent methods based on machine learning using non-invasive wearable devices offer a promising solution for seizure monitoring. However, most of these methods operate as black boxes, lacking explanations accessible to clinicians and patients. This study proposes a novel explainable method for both seizure detection and prediction.


Methods:

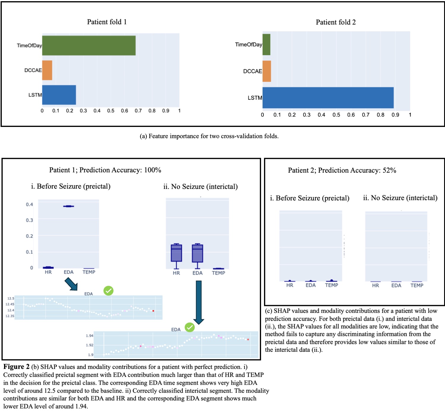
We enrolled pediatric PWE from the long-term monitoring unit at Boston Children’s Hospital who wore a wearable Empatica E4 sensor on their wrist and/or ankle. The device recorded heart rate (HR), electrodermal activity (EDA), temperature (TEMP), and accelerometer (ACC) data. Of the 450 patients enrolled, we included those with tonic-clonic seizures (GTC/FBTC). We developed two methods for detecting and predicting seizures. Our seizure detection method trains the state-of-the-art transformer network to classify between ictal and interictal data using HR and ACC. Our seizure prediction method is trained to distinguish between preictal data (five minutes prior to seizure onset) and interictal data using EDA, HR, and TEMP by fusing a long short-term memory (LSTM) network, a deep canonical correlated autoencoder (DCCAE) for learning multimodal correlations, and time-of-day features. We implemented Shapley Additive Explanations (SHAP) for the explainability of both methods to assess the importance of the ictal (or preictal) class for each point in the input time segment and sum the absolute SHAP values to obtain contributions from each modality and feature encoding.



Results:

We included 38 patients with 59 seizures (42.1% female, median age 13.8 years). Our detection method achieves an average accuracy of 75% and an AUC-ROC of 0.81. Fig.1 shows the SHAP values and modality contributions for two patients. For Patient 1, the method accurately detects the ictal segment (Fig.1a) by focusing on large clonic movements captured by the ACC (90% contribution) and an increase in HR (10% contribution). As expected, the SHAP values for the interictal segment are very small. For Patient 2, the method correctly detects the seizure by primarily focusing on an increase in HR (Fig.1bi). However, it produces a false alarm (Fig.1bii), which can be explained by the SHAP values showing that the method incorrectly assigns changes in ACC and HR to a seizure. The explanations for our prediction method (average accuracy: 81.7% and AUC-ROC: 0.80) are illustrated in Fig.2. Fig.2a shows the contributions of different features for two cross-validation folds, with the first fold showing the time-of-day features contributing the most and the second fold highlighting the LSTM's role in prediction. On the patient level, the method correctly predicted the seizure for patient 1, focusing on a high EDA level before the seizure (Fig.2b).



Conclusions: We developed a multimodal XAI method for seizure monitoring that has the potential to discover novel biomarkers and increase device acceptance among patients by providing personalized explanations and additional information towards precision medicine in seizure monitoring.

Funding: Paderborn University, Epilepsy Research Fund

Translational Research